Logarithms
রেটিং
Oct 12, 2024সর্বশেষ আপডেট
2.0সংস্করণ
Logarithms সম্পর্কে
• App to learn LOGARITHMS.
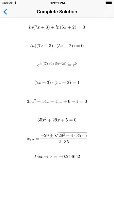
• The app creates equations and expressions and SHOWS THE COMPLETE SOLUTION !!!
• The expressions and equations are ALWAYS DIFFERENT (based on random numbers).
• An ideal tool for the study of mathematics in secondary schools and technical schools.
• It is also possible to learn the logarithm laws (simplify and expand expressions). Fundamental to be able to solve the equations.
• Includes a calculator for the calculation of logarithms to any base.
• Works 100% offline
• Also suitable for TEACHERS who need to build logarithmic equations as a task for students; it is possible to export LaTex code to create professional looking scripts (available as in-app purchase).
• 5 levels are available:
1) Simplify (Free)
2) Expand (Free)
3) Equations - Easy (Free)
4) Equations - Medium (in app purchase)
5) Equations - Difficult (in app purchase)
• Simplify: application of the rules on calculation of logarithms to compact expressions
e.g.: log (5) + log (4) - log (2) = log (5 * 4/2) = log (10)
• Expand: the opposite of simplify, e.g.: log (x * y/(2z)) = log (x * y) - log (2z) =
log (x) + log (y) - [log (2) + log (z)] = log (x) + log (y) - log (2) - log (z)
• Equations - Easy: equations that simply require the application of the definition of logarithm and application of calculation rules; are solvable in few steps and are an excellent starting point for more difficult equations.
• Equations - Medium: this level presents equations that require a higher number of steps to be resolved. By mastering this level you can achieve medium/good review.
• Equations - Hard: this is a level where logarithmic equations are presented that eventually leads to quadratic equations using a variable substitution, or are tricky. It also present some equations with logarithms to different bases and equations that require an excellent knowledge of the topic. By mastering this level excellent exam results are highly likely :-)
• The app creates equations and expressions and SHOWS THE COMPLETE SOLUTION !!!
• The expressions and equations are ALWAYS DIFFERENT (based on random numbers).
• An ideal tool for the study of mathematics in secondary schools and technical schools.
• It is also possible to learn the logarithm laws (simplify and expand expressions). Fundamental to be able to solve the equations.
• Includes a calculator for the calculation of logarithms to any base.
• Works 100% offline
• Also suitable for TEACHERS who need to build logarithmic equations as a task for students; it is possible to export LaTex code to create professional looking scripts (available as in-app purchase).
• 5 levels are available:
1) Simplify (Free)
2) Expand (Free)
3) Equations - Easy (Free)
4) Equations - Medium (in app purchase)
5) Equations - Difficult (in app purchase)
• Simplify: application of the rules on calculation of logarithms to compact expressions
e.g.: log (5) + log (4) - log (2) = log (5 * 4/2) = log (10)
• Expand: the opposite of simplify, e.g.: log (x * y/(2z)) = log (x * y) - log (2z) =
log (x) + log (y) - [log (2) + log (z)] = log (x) + log (y) - log (2) - log (z)
• Equations - Easy: equations that simply require the application of the definition of logarithm and application of calculation rules; are solvable in few steps and are an excellent starting point for more difficult equations.
• Equations - Medium: this level presents equations that require a higher number of steps to be resolved. By mastering this level you can achieve medium/good review.
• Equations - Hard: this is a level where logarithmic equations are presented that eventually leads to quadratic equations using a variable substitution, or are tricky. It also present some equations with logarithms to different bases and equations that require an excellent knowledge of the topic. By mastering this level excellent exam results are highly likely :-)
Logarithms স্ক্রিনশট
সম্পাদকের পুনঃপ্রেরণা
Logarithms এর মতো অ্যাপ
Francesco Grassi এর দ্বারা অ্যাপ
Logarithms FAQ
আমি কিভাবে Logarithms পিজিয়ার এপিকে হাব থেকে ডাউনলোড করব?
পিজিয়ার এপিকে হাবে Logarithms ডাউনলোড করার জন্য কোন খরচ আছে?
পিজিয়ার এপিকে হাব থেকে Logarithms ডাউনলোড করতে কি আমার একটি অ্যাকাউন্ট দরকার?
পিজিয়ার এপিকে হাব থেকে Logarithms সমস্যা রিপোর্ট করতে কিভাবে পারি?
আপনি কি এটা সাহায্যকর পেয়েছেন
হ্যাঁ
না
সবচেয়ে জনপ্রিয়
Sing It - Ear TrainerA must app for every musician, singer, or just for fun.
Test,train, and improve your musical ear and
Tube PiP - PiP for YouTubeTube PiP - the ultimate YouTube companion for iOS:
Picture in Picture (PiP) Playback: Watch YouTube
Papaya Ouch!In the game Papaya Ouch!, you can experience backpack management, tower defense, TD, merge, match 2,
Lets Go VPNLets Go VPN, the most advanced VPN, is designed by a team of top developers who strive to ensure all
Paprika Recipe Manager 3Organize your recipes. Create grocery lists. Plan your meals. Download recipes from your favorite we
War Pigeons UnboundedWar is coming. Deep down in top secret military labs they have evolved, mutated - and escaped. The f
Procreate PocketApp of the Year winner Procreate Pocket is the most feature-packed and versatile art app ever design
Cowboy Westland survival runAre you ready to take part in the #1 exciting 3D western adventure? Cowboy Westland survival run mak
Max: Stream HBO, TV, & MoviesIt’s all here. Iconic series, award-winning movies, fresh originals, and family favorites, featuring
TonalEnergy Tuner & MetronomeFor musicians from pros to beginners, whether you sing, play a brass, woodwind or stringed instrumen
SkyView®SkyView® brings stargazing to everyone. Simply point your iPhone, iPad, or iPod at the sky to identi
Ninja Dash 2015Ninja Dash 2015 is the fast paced running game!On these maze fields, rush to the end of this ninja w
Tami-Live Chat&VideoTami is an app that records daily life and ideas.You can use it to record your every day, whether it
SALE Camera - marketing camera effects plus photo editorSALE Camera Help you create the best Business to consumer Stock Photos and Images. provides 300 filt
DevTutor for SwiftUI"DevTutor" is an application designed to assist developers in creating exceptional apps us
Mokens League SoccerDive into Mokens League Soccer and experience the new era of soccer gaming!
Esports for Everyone: Wh
Zombie ZZOMBIE ENDLESS RUNNER LIKES NO OTHER!WHY?* Awesome graphic quality!* Simplified control (Auto-shooti
Dead Z - Zombie SurvivalCatastrophic explosion at the Omega Labs started the apocalypse, now spreading across the Earth.
Tak
HotSchedulesHotSchedules is the industry's leading employee scheduling app because it’s the fastest and easiest
ChatGPTIntroducing ChatGPT for iOS: OpenAI’s latest advancements at your fingertips.
This official app is f
Disney StoreDisney Store is your official home for exclusive collections, designer collaborations, and one-of-a-
fight back tennisa Pong game with Tennis style, the gameplay itself is very simple, you can using Touch. Ball speed w
Dr. Mina AdlyMina Adly mobile app provides students with portable instant access to a selection of services.
Usin
iVerify BasiciVerify Basic is your gateway to enhanced device security and threat awareness, offering a glimpse i








