Geometry-Solver Pro
Penilaian
Sep 16, 2024Kemas kini terkini
4.0.2Versi
Tentang Geometry-Solver Pro
The GeometrySolver is not just an app, its a canvas and a book too.
This app not only solves the geometric shapes, it also teaches you the formulas related to each geometric shape as well as it draws the geometric shapes when solved.
This app is designed by an engineer to the perfection with every details in mind.
It calculates side, height, diagonals, apothem, diameter, radius, perimeter, circumference, area, lateral area, surface area, volume.
Some shapes have a dedicated interactive tab to play around and draw those shapes of different dimensions.
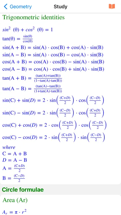
Each geometric shape has its corresponding formulas written beautifully in mathematical way.
This is a perfect app for your kids to learn geometry interactively.
Draw, solve, share the geometric shapes. Drawn/solved shapes are displayed with their properties (numeric values).
The Solve tab of angle is dynamic and interactive. You can touch/drag on the surface to draw an angle or use the slider to draw an angle.
It automatically saves your hard work locally on your device so you can come back and pick up from where you left off as your great effort will not be lost.
There are so many common geometric shapes to learn from like square, circle, cylinder, cone, cuboid, pyramid, sphere and more
There is also a Study page to help you with learning formulae related to many common geometric shapes.
This is an app for all student groups. From high school to college to university students.
Be creative. Enjoy the app!
This app not only solves the geometric shapes, it also teaches you the formulas related to each geometric shape as well as it draws the geometric shapes when solved.
This app is designed by an engineer to the perfection with every details in mind.
It calculates side, height, diagonals, apothem, diameter, radius, perimeter, circumference, area, lateral area, surface area, volume.
Some shapes have a dedicated interactive tab to play around and draw those shapes of different dimensions.
Each geometric shape has its corresponding formulas written beautifully in mathematical way.
This is a perfect app for your kids to learn geometry interactively.
Draw, solve, share the geometric shapes. Drawn/solved shapes are displayed with their properties (numeric values).
The Solve tab of angle is dynamic and interactive. You can touch/drag on the surface to draw an angle or use the slider to draw an angle.
It automatically saves your hard work locally on your device so you can come back and pick up from where you left off as your great effort will not be lost.
There are so many common geometric shapes to learn from like square, circle, cylinder, cone, cuboid, pyramid, sphere and more
There is also a Study page to help you with learning formulae related to many common geometric shapes.
This is an app for all student groups. From high school to college to university students.
Be creative. Enjoy the app!
Tangkapan skrin Geometry-Solver Pro
Cadangan Editor
Aplikasi Seperti Geometry-Solver Pro
Aplikasi oleh Om Prakash Chapagain
Geometry-Solver Pro FAQ
Bagaimana saya boleh memuat turun Geometry-Solver Pro dari PGYER IPA HUB?
Adakah Geometry-Solver Pro di PGYER IPA HUB percuma untuk dimuat turun?
Adakah saya perlu akaun untuk memuat turun Geometry-Solver Pro dari PGYER IPA HUB?
Bagaimana saya boleh melaporkan masalah dengan Geometry-Solver Pro di PGYER IPA HUB?
Adakah anda dapati ini membantu
Ya
Tidak
Paling Popular
Sing It - Ear TrainerA must app for every musician, singer, or just for fun.
Test,train, and improve your musical ear and
Tube PiP - PiP for YouTubeTube PiP - the ultimate YouTube companion for iOS:
Picture in Picture (PiP) Playback: Watch YouTube
Papaya Ouch!In the game Papaya Ouch!, you can experience backpack management, tower defense, TD, merge, match 2,
Lets Go VPNLets Go VPN, the most advanced VPN, is designed by a team of top developers who strive to ensure all
Paprika Recipe Manager 3Organize your recipes. Create grocery lists. Plan your meals. Download recipes from your favorite we
War Pigeons UnboundedWar is coming. Deep down in top secret military labs they have evolved, mutated - and escaped. The f
Procreate PocketApp of the Year winner Procreate Pocket is the most feature-packed and versatile art app ever design
Cowboy Westland survival runAre you ready to take part in the #1 exciting 3D western adventure? Cowboy Westland survival run mak
Max: Stream HBO, TV, & MoviesIt’s all here. Iconic series, award-winning movies, fresh originals, and family favorites, featuring
TonalEnergy Tuner & MetronomeFor musicians from pros to beginners, whether you sing, play a brass, woodwind or stringed instrumen
SkyView®SkyView® brings stargazing to everyone. Simply point your iPhone, iPad, or iPod at the sky to identi
Ninja Dash 2015Ninja Dash 2015 is the fast paced running game!On these maze fields, rush to the end of this ninja w
Tami-Live Chat&VideoTami is an app that records daily life and ideas.You can use it to record your every day, whether it
SALE Camera - marketing camera effects plus photo editorSALE Camera Help you create the best Business to consumer Stock Photos and Images. provides 300 filt
DevTutor for SwiftUI"DevTutor" is an application designed to assist developers in creating exceptional apps us
Mokens League SoccerDive into Mokens League Soccer and experience the new era of soccer gaming!
Esports for Everyone: Wh
Zombie ZZOMBIE ENDLESS RUNNER LIKES NO OTHER!WHY?* Awesome graphic quality!* Simplified control (Auto-shooti
Dead Z - Zombie SurvivalCatastrophic explosion at the Omega Labs started the apocalypse, now spreading across the Earth.
Tak
HotSchedulesHotSchedules is the industry's leading employee scheduling app because it’s the fastest and easiest
ChatGPTIntroducing ChatGPT for iOS: OpenAI’s latest advancements at your fingertips.
This official app is f
Disney StoreDisney Store is your official home for exclusive collections, designer collaborations, and one-of-a-
fight back tennisa Pong game with Tennis style, the gameplay itself is very simple, you can using Touch. Ball speed w
Dr. Mina AdlyMina Adly mobile app provides students with portable instant access to a selection of services.
Usin
iVerify BasiciVerify Basic is your gateway to enhanced device security and threat awareness, offering a glimpse i











