Quadratic Equations
Avaliação
Aug 07, 2024Última atualização
7.5Versão
Como instalar o arquivo .IPA
Compartilhar
Sobre Quadratic Equations
A power learning aid combining Practice, Coaching Calculators and Guides to help students master the solving of quadratic equations.
Coaching Calculators solve quadratic equations by :
- completing the square
- quadratic formula
- factoring
Students learn quickly by working with the calculator and seeing each step of the process in detail.
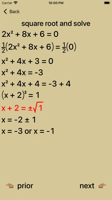
Completing the square for example:
- Dividing by coefficient of x²
- Taking constant term to right hand side
- Completing the square
- Taking the square root of both sides
- Simplifying and solving
Practice includes examples from basic such as x² + 3x + 2 = 0 to equations with rational (fractional) coefficients.
Guides have a comprehensive set of examples
Coaching Calculators solve quadratic equations by :
- completing the square
- quadratic formula
- factoring
Students learn quickly by working with the calculator and seeing each step of the process in detail.
Completing the square for example:
- Dividing by coefficient of x²
- Taking constant term to right hand side
- Completing the square
- Taking the square root of both sides
- Simplifying and solving
Practice includes examples from basic such as x² + 3x + 2 = 0 to equations with rational (fractional) coefficients.
Guides have a comprehensive set of examples
Capturas de tela do Quadratic Equations
Recomendação do editor
Apps Semelhantes a Quadratic Equations
Apps por Walter Kissach
Quadratic Equations FAQ
Como faço para baixar Quadratic Equations do PGYER IPA HUB?
O Quadratic Equations no PGYER IPA HUB é gratuito para baixar?
Eu preciso de uma conta para baixar Quadratic Equations do PGYER IPA HUB?
Como posso relatar um problema com Quadratic Equations no PGYER IPA HUB?
Achou isso útil?
Sim
Não
Mais popular
Sing It - Ear TrainerA must app for every musician, singer, or just for fun.
Test,train, and improve your musical ear and
Tube PiP - PiP for YouTubeTube PiP - the ultimate YouTube companion for iOS:
Picture in Picture (PiP) Playback: Watch YouTube
Papaya Ouch!In the game Papaya Ouch!, you can experience backpack management, tower defense, TD, merge, match 2,
Lets Go VPNLets Go VPN, the most advanced VPN, is designed by a team of top developers who strive to ensure all
Paprika Recipe Manager 3Organize your recipes. Create grocery lists. Plan your meals. Download recipes from your favorite we
War Pigeons UnboundedWar is coming. Deep down in top secret military labs they have evolved, mutated - and escaped. The f
Procreate PocketApp of the Year winner Procreate Pocket is the most feature-packed and versatile art app ever design
Cowboy Westland survival runAre you ready to take part in the #1 exciting 3D western adventure? Cowboy Westland survival run mak
Max: Stream HBO, TV, & MoviesIt’s all here. Iconic series, award-winning movies, fresh originals, and family favorites, featuring
TonalEnergy Tuner & MetronomeFor musicians from pros to beginners, whether you sing, play a brass, woodwind or stringed instrumen
SkyView®SkyView® brings stargazing to everyone. Simply point your iPhone, iPad, or iPod at the sky to identi
Ninja Dash 2015Ninja Dash 2015 is the fast paced running game!On these maze fields, rush to the end of this ninja w
Tami-Live Chat&VideoTami is an app that records daily life and ideas.You can use it to record your every day, whether it
SALE Camera - marketing camera effects plus photo editorSALE Camera Help you create the best Business to consumer Stock Photos and Images. provides 300 filt
DevTutor for SwiftUI"DevTutor" is an application designed to assist developers in creating exceptional apps us
Mokens League SoccerDive into Mokens League Soccer and experience the new era of soccer gaming!
Esports for Everyone: Wh
Zombie ZZOMBIE ENDLESS RUNNER LIKES NO OTHER!WHY?* Awesome graphic quality!* Simplified control (Auto-shooti
Dead Z - Zombie SurvivalCatastrophic explosion at the Omega Labs started the apocalypse, now spreading across the Earth.
Tak
HotSchedulesHotSchedules is the industry's leading employee scheduling app because it’s the fastest and easiest
ChatGPTIntroducing ChatGPT for iOS: OpenAI’s latest advancements at your fingertips.
This official app is f
Disney StoreDisney Store is your official home for exclusive collections, designer collaborations, and one-of-a-
fight back tennisa Pong game with Tennis style, the gameplay itself is very simple, you can using Touch. Ball speed w
Dr. Mina AdlyMina Adly mobile app provides students with portable instant access to a selection of services.
Usin
iVerify BasiciVerify Basic is your gateway to enhanced device security and threat awareness, offering a glimpse i













