Integrals trainer
امتیاز
Aug 13, 2024آخرین به روزرسانی
2.7نسخه
نحوه نصب فایل .IPA
اشتراک گذاری
درباره Integrals trainer
Ever had an integral to solve and been wondering what is the best technique to use? Ever worked on a integral for long minutes, just to figure out you initially chose the wrong path? With this application, you can now concentrate on that critical first step: deciding what method to use! Look at an integral, choose what you would do, try again until you get it right, then go straight to the next integral! If need be, you can stop to look at a partial (sometimes complete) solution highlighting the first few steps of the resolution.
You will soon know, at a glance, what method to use to solve any reasonable integral! By becoming an expert at this critical first step, you'll save time and get better grades!
The methods covered in this application are:
- Basic integrals, for the ones so simple that you can just give the answer right away.
- Separating integrals, when the integral becomes easier by solving many smaller ones.
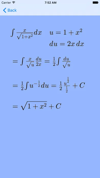
- Substitution, when you let u=something to make the integral simpler.
- Partial fractions, when you rewrite your equation as a sum of smaller ones.
- Trigonometric identities, when you can use identities to simplify your integral.
- Triangle, when nothing simpler works and you willingly insert some trigonometry into your integral by use of a triangle.
- By parts, when you have two different families of functions in your integral.
You will soon know, at a glance, what method to use to solve any reasonable integral! By becoming an expert at this critical first step, you'll save time and get better grades!
The methods covered in this application are:
- Basic integrals, for the ones so simple that you can just give the answer right away.
- Separating integrals, when the integral becomes easier by solving many smaller ones.
- Substitution, when you let u=something to make the integral simpler.
- Partial fractions, when you rewrite your equation as a sum of smaller ones.
- Trigonometric identities, when you can use identities to simplify your integral.
- Triangle, when nothing simpler works and you willingly insert some trigonometry into your integral by use of a triangle.
- By parts, when you have two different families of functions in your integral.
تصاویر Integrals trainer
پیشنهاد ویرایشگر
برنامههای مشابه Integrals trainer
برنامههای توسط Jonathan Ruel
Integrals trainer FAQ
چگونه می توانم Integrals trainer را از PGYER IPA HUB دانلود کنم؟
آیا Integrals trainer در PGYER IPA HUB رایگان برای دانلود است؟
آیا برای دانلود Integrals trainer از PGYER IPA HUB نیاز به حساب کاربری دارم؟
چگونه می توانم یک مشکل با Integrals trainer در PGYER IPA HUB گزارش دهم؟
آیا این را مفید یافتید؟
بله
خیر
پرطرفدارترین
Sing It - Ear TrainerA must app for every musician, singer, or just for fun.
Test,train, and improve your musical ear and
Tube PiP - PiP for YouTubeTube PiP - the ultimate YouTube companion for iOS:
Picture in Picture (PiP) Playback: Watch YouTube
Papaya Ouch!In the game Papaya Ouch!, you can experience backpack management, tower defense, TD, merge, match 2,
Lets Go VPNLets Go VPN, the most advanced VPN, is designed by a team of top developers who strive to ensure all
Paprika Recipe Manager 3Organize your recipes. Create grocery lists. Plan your meals. Download recipes from your favorite we
War Pigeons UnboundedWar is coming. Deep down in top secret military labs they have evolved, mutated - and escaped. The f
Procreate PocketApp of the Year winner Procreate Pocket is the most feature-packed and versatile art app ever design
Cowboy Westland survival runAre you ready to take part in the #1 exciting 3D western adventure? Cowboy Westland survival run mak
Max: Stream HBO, TV, & MoviesIt’s all here. Iconic series, award-winning movies, fresh originals, and family favorites, featuring
TonalEnergy Tuner & MetronomeFor musicians from pros to beginners, whether you sing, play a brass, woodwind or stringed instrumen
SkyView®SkyView® brings stargazing to everyone. Simply point your iPhone, iPad, or iPod at the sky to identi
Ninja Dash 2015Ninja Dash 2015 is the fast paced running game!On these maze fields, rush to the end of this ninja w
Tami-Live Chat&VideoTami is an app that records daily life and ideas.You can use it to record your every day, whether it
SALE Camera - marketing camera effects plus photo editorSALE Camera Help you create the best Business to consumer Stock Photos and Images. provides 300 filt
DevTutor for SwiftUI"DevTutor" is an application designed to assist developers in creating exceptional apps us
Mokens League SoccerDive into Mokens League Soccer and experience the new era of soccer gaming!
Esports for Everyone: Wh
Zombie ZZOMBIE ENDLESS RUNNER LIKES NO OTHER!WHY?* Awesome graphic quality!* Simplified control (Auto-shooti
Dead Z - Zombie SurvivalCatastrophic explosion at the Omega Labs started the apocalypse, now spreading across the Earth.
Tak
HotSchedulesHotSchedules is the industry's leading employee scheduling app because it’s the fastest and easiest
ChatGPTIntroducing ChatGPT for iOS: OpenAI’s latest advancements at your fingertips.
This official app is f
Disney StoreDisney Store is your official home for exclusive collections, designer collaborations, and one-of-a-
fight back tennisa Pong game with Tennis style, the gameplay itself is very simple, you can using Touch. Ball speed w
Dr. Mina AdlyMina Adly mobile app provides students with portable instant access to a selection of services.
Usin
iVerify BasiciVerify Basic is your gateway to enhanced device security and threat awareness, offering a glimpse i







